(1) |
| Воздухообмен/Производительность, м3/час | 1800 |
| Используемый хладагент | R407 |
| Масса, кг | 72 |
| Питание, В/Гц/Ф | 230/50/1 |
Настенные осушители SDM специально сконструированы для использования в бассейнах, где необходимо точное поддержание заданного уровня влажности для обеспечения оптимального комфорта.
Осушители не требуют сложного монтажа и обслуживания, для ввода в эксплуатацию достаточно установить осушитель в помещении, подать электропитание и подключить его к дренажу. Осушитель снабжен встроенным гигростатом и воздушным фильтром.
Все осушители заправлены хладагентом и проходят полную проверку работоспособности перед отгрузкой с завода.
Исполнения осушителей

Габаритные размеры
A=310 мм B=826 мм С=1310 мм
Монтаж на стене
| Воздухообмен/Производительность, м3/час | 1800 |
| Габаритные размеры, мм | 310x826x1310 |
| Используемый хладагент | R407 |
| Масса, кг | 72 |
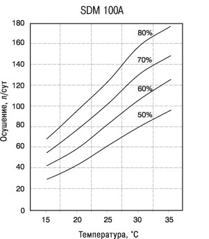
| Осушение, л/сут | 107.8 |
| Питание, В/Гц/Ф | 230/50/1 |
| Потребляемая мощность, кВт | 2.9 |
| Пульт дистанционного управления | Да |
| Сила тока, А | 15.2 |
| Уровень шума, дБ | 52 |
Условия доставки:
| В пределах МКАД | 550 руб. до подъезда |
| За пределами МКАД | 550 руб. + 30 руб./км |
| В регионы России | по тарифам любой транспортной компании |
Оплата: наличный и безналичный расчет.